欢迎来到曼斯特(成都)生物科技有限公司!
18030607553

产品中心

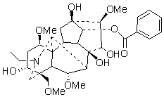
苯甲酰乌头原碱 Benzoylaconine
请询价 20mg