欢迎来到曼斯特(成都)生物科技有限公司!
18010516991

产品中心

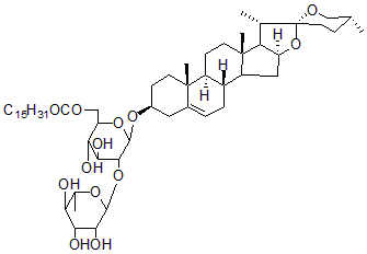
重楼皂苷V棕榈酸酯 Paris saponin V palmitate
请询价 1mg