欢迎来到曼斯特(成都)生物科技有限公司!
18011593992

产品中心

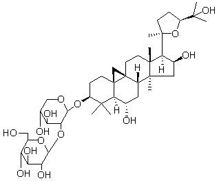
黄芪皂苷III Astragaloside III
请询价 20mg