欢迎来到曼斯特(成都)生物科技有限公司!
18011593992

产品中心

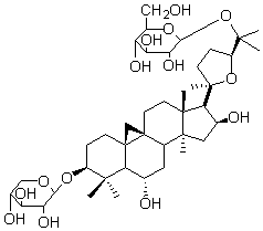
异黄芪皂苷IV Isoastragaloside IV
请询价 10mg