欢迎来到曼斯特(成都)生物科技有限公司!
18030607553

产品中心

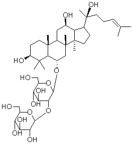
人参皂苷Rf Ginsenoside Rf
请询价 20mg