欢迎来到曼斯特(成都)生物科技有限公司!
18160048071

产品中心

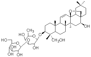
柴胡皂苷A Saikosaponin A
请询价 1mg