欢迎来到曼斯特(成都)生物科技有限公司!
18011593992

产品中心

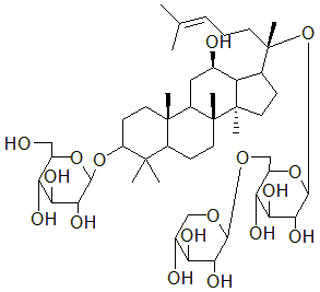
三七皂苷Fd Notoginsenoside Fd
请询价 20mg