欢迎来到曼斯特(成都)生物科技有限公司!
18160048071

产品中心

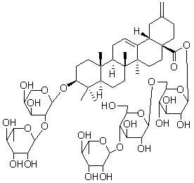
刺五加皂苷B Ciwujianoside B
请询价 1mg