欢迎来到曼斯特(成都)生物科技有限公司!
18010516991

产品中心

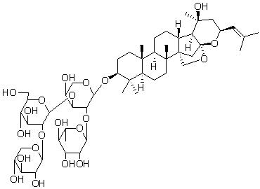
酸枣仁皂苷B Jujuboside B
请询价 20mg