欢迎来到曼斯特(成都)生物科技有限公司!
18030607553

产品中心

2''-鼠李糖淫羊藿次苷 II 2''-O-Rhamnosylicariside II
请询价 1mg
宝藿苷I;淫羊藿次苷II Baohuoside I
请询价 20mg
宝藿苷II IKarisoside A
请询价 1mg
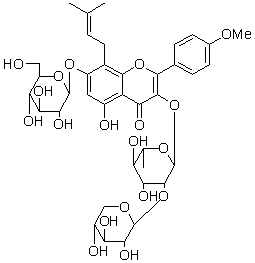
朝藿定A Epimedin A
请询价 1mg
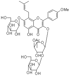
朝藿定A1 Epimedin A1
请询价 1mg
朝藿定B Epimedin B
请询价 1mg
朝藿定C Epmedin C
请询价 1mg
朝藿苷丙 Epimedin I
请询价 5mg
朝藿苷甲 Epimedoside
请询价 10mg
淫羊藿新苷A Epimedoside A
请询价 20mg
淫羊藿次苷I Icariside I
请询价 1mg
淫羊藿素 Icaritin
请询价 20mg
淫羊藿苷 Icariin
请询价 1mg
箭藿苷B Sagittatoside B
请询价 1mg
羟基淫羊藿苷 hydroxyl icariin
请询价 2mg